
안녕하세요 보스턴 임박사입니다.
바이오텍 스타트업에서 Fortune 500 회사가 되기까지 초고속 스피드로 성장하는 회사에서 일하게 될 것이라고는 정말 정말이지 꿈도 꾸지 못했습니다. 제가 회사 초기에 이런 생각까지는 했었어요.
“회사가 빠른 속도로 커져서 빅파마에 M&A가 될 것이다!”
그런데 제가 들어간 스타트업은 저의 기대와 달리 (?) 너무나 엄청난 성장률을 보여서 IPO를 하고 2-3년만에 NASDAQ 100에 들어가고 Standard & Poor’s 500에 진입을 하더니 매출과 이익까지 받쳐줘서 Fortune 500에까지 진입을 해 버린 것입니다.
그래서 저의 스타트업은 Legend가 되어 버렸습니다.
상황이 이렇다보니 회사의 성장을 저와 함께 입사했던 동기 중에서 함께 성장한 경우가 있는가 하면 그렇지 못한 경우도 있죠. 이에 대해 좋은 글이 있어서 가져왔습니다.
Early Startup Employees and Company Growth by Alex Kracov
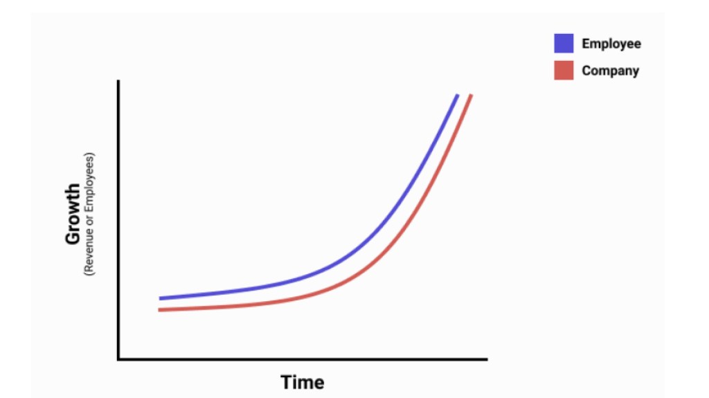
여기에서 초기 스타트업에서 일한 직원이 겪는 두가지 성장 곡선을 얘기하고 있는데요.
하나는 회사보다 직원이 더 빠르게 성장하는 경우입니다. 아주 이상적인 케이스죠. 이렇게 하려면 자신을 엄청나게 갈아넣는 무한한 노력이 필요하다고 말하고 있습니다.

두번째는 성장은 하지만 회사가 훨씬 가파르게 성장하는 경우입니다. 저의 케이스가 여기에 해당한다고 생각해요. 저도 성장을 굉장히 많이 했다고 생각하지만 그보다 회사의 성장이 훨씬 빨랐다고 할 수 있습니다.

여기에서 저자는 몇가지 성장을 위한 제안을 합니다.
공부하라는 것이 그 중 하나이고요 멘토를 찾아서 계속 코칭을 받으라는 것이 두번째입니다.
저도 공부를 엄청나게 하고 있고요 중간 중간에 좋은 멘토가 계셨는데 이제 모두 더 좋은 곳으로 떠나서 다시 찾아야 할 것 같은 생각이 많이 듭니다. 지금 보스도 좋은 멘토이긴 합니다. 그래서 나름대로 여러가지 조언을 듣고 있습니다.
결국 노력이 중요하다는 생각이 듭니다. 한동안 나이가 많아서 성장이 더뎌지는게 아닐까? 라는 생각을 한 적도 있기는 한데요 그것은 저의 자기기만이었다는 생각이 들었고 요즘은 그런 생각보다는 성장을 위한 자기 계발에 더 치중을 하고 있습니다.
회사가 이렇게 놀라운 성장을 하면서 제가 받은 여러가지 축복도 있습니다.
우선 정말 좋은 동료들을 곁에 둘 수 있었다는 것이 큰 축복이고요.
이 회사에 다닌다는 것 하나만으로 그리고 오래 다녔다는 것 때문에도 인정(?)을 더 받는 느낌 (?) 이 들 때가 있어요.
예를 들면 이렇게 뜻하지 않은 상을 받게 된 것도 사실 오래 다니지 않았으면 있을 수 없는 것이죠.
BOSTONIAN (8) – American Chemical Society – Heroes of Chemistry Award
이 밖에도 다른 일도 있는데 그것은 다음에 구체화되면 다시 글을 쓰기로 하겠습니다.
요즘은 주로 논문, 책, 사람만나는 것 등등을 하면서 자신의 질적 성장을 위해 매진하고 있습니다. 당장보다 보다 먼 미래를 위한 저만의 투자법이라고 할까요?
성장은 연속적이지 않고 퀀텀점프더라구요. 다음번 퀀텀점프가 어떤 식이 될지 기대가 큽니다.
지금도 스타트업에서 열심히 자신을 갈아넣고 계신 모든 분들께 화이팅!! 외!쳐!봅!니!다!!